Добавить новость
smi24.net
Блог сайта «Мировое обозрение»
Октябрь
2025
1 2 3 4 5 6 7 8 9 10
11
12
13 14 15 16
17
18
19
20
21
22
23
24
25
26
27
28
29
30
31

Какого цвета темная материя? Физики предложили два сценария её обнаружения по цвету проходящего через неё света

Мы думаем, что темная материя существует, потому что видим ее гравитационное влияние повсюду: от вращения галактик до скоплений света из далеких квазаров. Но нам никогда не удавалось увидеть её саму. По определению, она «темная» — она не излучает, не поглощает и не отражает свет. Или, по крайней мере, так мы считали.

А что, если свет все-таки может взаимодействовать с частицами темной материи, хоть и чрезвычайно слабо? Новое исследование, опубликованное в Physics Letters B, рассмотрело этот вопрос. Авторы не только предполагают о возможности такого взаимодействия, но еще и моделируют, как оно может изменить цвет света, прошедшего через облако темной материи.

Небо в гамма-лучах глазами телескопа «Ферми». Этот обзор неба в гамма-лучах, построенный на основе годичных наблюдений Fermi LAT, является лучшим на сегодняшний день изображением Вселенной высоких энергий. Карта показывает интенсивность регистрации гамма-лучей с энергией выше 300 миллионов электронвольт — что примерно в 120 миллионов раз превышает энергию видимого света — с разных направлений на небе. Более яркие цвета соответствуют большей интенсивности потока.
Автор: NASA/DOE/Fermi LAT Collaboration Источник: www.flickr.com
Как «темное» может взаимодействовать со светом?

Если частица не имеет электрического заряда, как она может провзаимодействовать с фотоном — носителем электромагнитного взаимодействия? Тут исследование обращается к квантовым эффектам. Прямого взаимодействия нет, но есть обходные пути.

Исследователи рассмотрели два основных сценария, основанных на существующих гипотезах о природе темной материи. Оба сценария не требуют никакой экзотической физики за пределами известных теорий.

  1. Сценарий слабых взаимодействий. В этом варианте темная материя — это гипотетическая WIMP-частица (Weakly Interacting Massive Particle). У нее нет заряда, но она может взаимодействовать с бозоном Хиггса. Бозон Хиггса, в свою очередь, может взаимодействовать с фотонами через петли виртуальных частиц. Возникает цепочка: фотон взаимодействует с «кипящим» вакуумом, из которого рождается и исчезает пара тяжелых частиц, эта пара взаимодействует с бозоном Хиггса, а уже он — с частицей темной материи. Звучит запутанно, но это стандартный механизм в физике частиц.
  2. Сценарий гравитационных взаимодействий. Здесь темная материя — это частица, которая взаимодействует с нашим миром только через гравитацию. В квантовом мире гравитацию должен переносить ее квант — гипотетический гравитон. В этом случае фотон и частица темной материи могут просто обменяться гравитоном.

Это единственные сценарии, возможные без привлечения новых, еще не открытых сил. И, как оказалось, они приводят к совершенно разным результатам.

Возможные способы взаимодействия фотона с темной материей через бозон Хиггса и гравитон.
Автор: A. Acar, C. Isaacson, M. Bashkanov et al. Источник: www.sciencedirect.com
Сценарий первый: темная материя становится красной

Расчеты показали, что когда фотон рассеивается на WIMP-частице через хиггсовский механизм, происходит кое-что интересное. Вероятность такого события сильно зависит от энергии фотона. Фотоны с высокой энергией — синие и фиолетовые — рассеиваются значительно чаще, чем фотоны с низкой энергией, то есть красные.

Если поток белого света, пройдет через плотное облако такой темной материи, то синие лучи будут чаще отклоняться в стороны. Красные же лучи с большей вероятностью пройдут насквозь. В результате свет, прошедший через облако, будет казаться красноватым.

Интенсивность рассеяния фотонов на частицах темной материи WIMP (1 ТэВ) в зависимости от энергии фотона (ось x) и угла его рассеяния (ось y).
Автор: A. Acar, C. Isaacson, M. Bashkanov et al. Источник: www.sciencedirect.com
Сценарий второй: гравитация окрашивает в синий

А что, если темная материя взаимодействует только гравитационно? Тут все наоборот.

Гравитационное рассеяние света тоже зависит от энергии, но иначе. Расчеты показывают, что этот процесс эффективнее рассеивает фотоны с низкой энергией. Красные и оранжевые лучи будут отклоняться чаще, чем синие и фиолетовые.

Если наш поток белого света пройдет через облако такой гравитационной темной материи, он потеряет преимущественно красную часть спектра. Свет, который дойдет до наблюдателя, станет более синим.

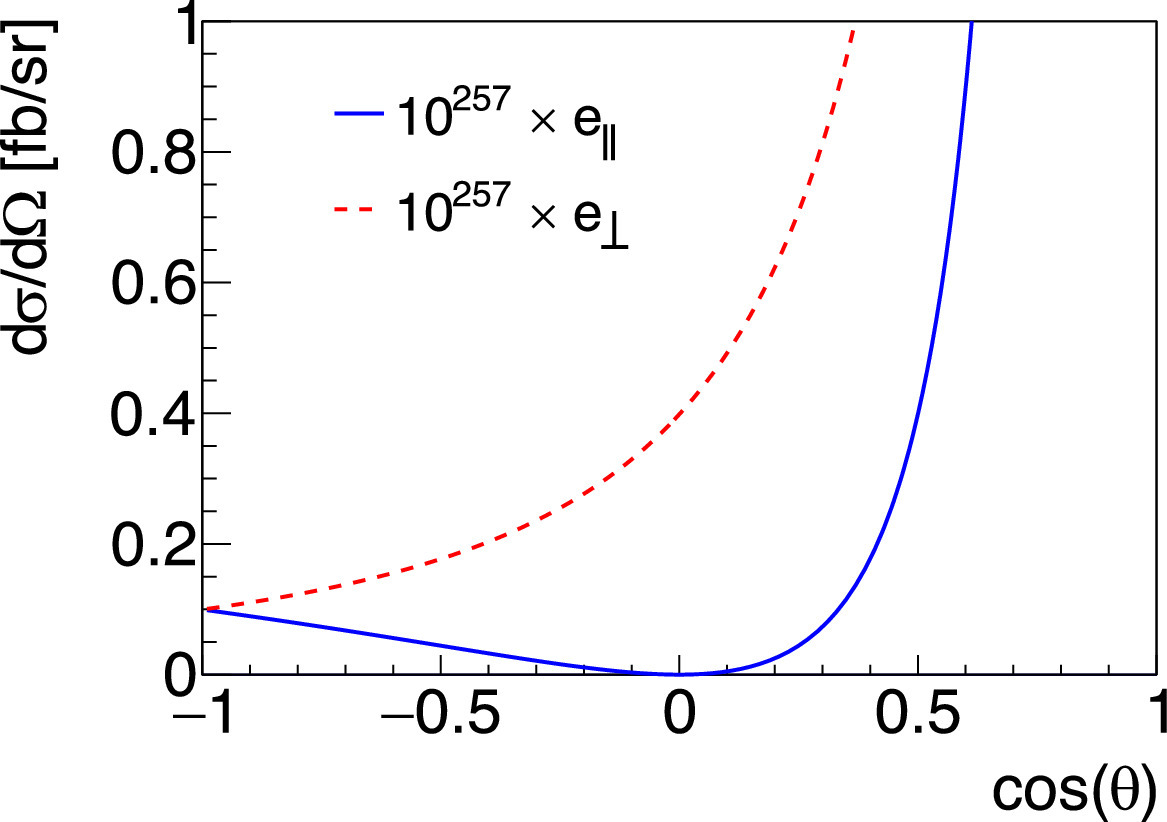
Более того, гравитационное рассеяние имеет еще одну особенность: оно сильно влияет на поляризацию света. Поляризация — это ориентация колебаний световой волны в пространстве. Этот эффект может оказаться даже более заметным, чем изменение цвета, и стать основным маркером для будущих наблюдений.

Зависимость гравитационного рассеяния света на частице темной материи (Mχ = 10¹⁹ ГэВ) от угла. График показывает, что результат сильно зависит от поляризации света. (Обратите внимание: масштаб по оси y равен 10⁻²⁴⁷ — это невероятно малое значение).
Автор: A. Acar, C. Isaacson, M. Bashkanov et al. Источник: www.sciencedirect.com
Как это проверить на практике?

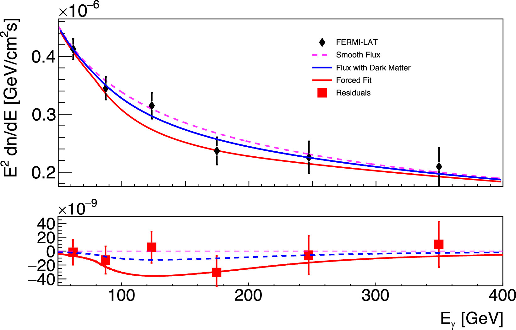
Теоретические предсказания это хорошо, но есть ли способ их проверить? Авторы работы предприняли первую попытку. Они взяли общедоступные данные космического телескопа Fermi-LAT, который наблюдает за гамма-излучением — самыми высокоэнергетическими фотонами во Вселенной.

По их логике, центр нашей галактики, как предполагается, содержит наибольшую концентрацию темной материи. Свет, идущий к нам оттуда, должен проходить через это плотное облако. Если эффект рассеяния существует, он должен оставить след в спектре этого излучения — небольшой провал на определенных энергиях.

Проверка теории на практике. На верхнем графике — реальные данные телескопа Fermi-LAT о потоке фотонов из центра Галактики. Они сравниваются с двумя моделями: учитывающей эффект темной материи (сплошная синяя линия) и не учитывающей его (пунктирная розовая). На нижнем графике показаны отклонения данных от стандартной модели.
Автор: A. Acar, C. Isaacson, M. Bashkanov et al. Источник: www.sciencedirect.com

Четкого сигнала обнаружить не удалось. Но, как принято в науке, отрицательный результат — тоже результат. Отсутствие заметного искажения спектра позволило ученым установить верхнюю границу для массы частиц темной материи. Если бы они были тяжелее определенного предела, их эффект был бы уже заметен в данных Fermi-LAT.

А пока мы получили еще одну гипотезу, которую можно проверить только в будущем.

Изображение в превью:
Автор: NASA/DOE/Fermi LAT Collaboration
Источник: www.flickr.com














Музыкальные новости






















СМИ24.net — правдивые новости, непрерывно 24/7 на русском языке с ежеминутным обновлением *